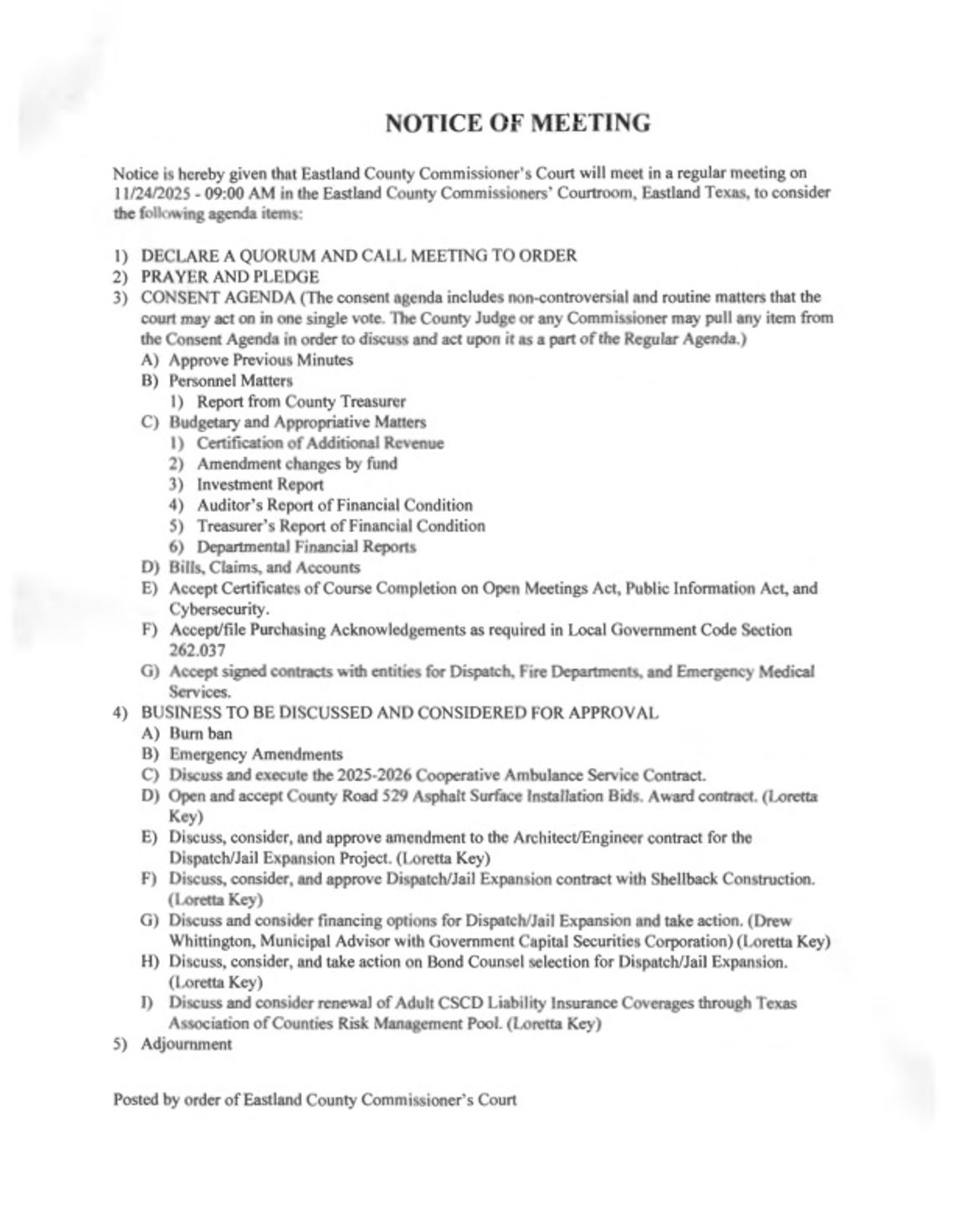
Eastland County Commissioners Court Meeting Monday, November 24 at 9 AMĀ
PLEASE LOG IN FOR PREMIUM CONTENT. Our website requires visitors to log in to view the best local news.
Not yet a subscriber? Subscribe today!

Eastland County Commissioners Court Meeting Monday, November 24 at 9 AMĀ