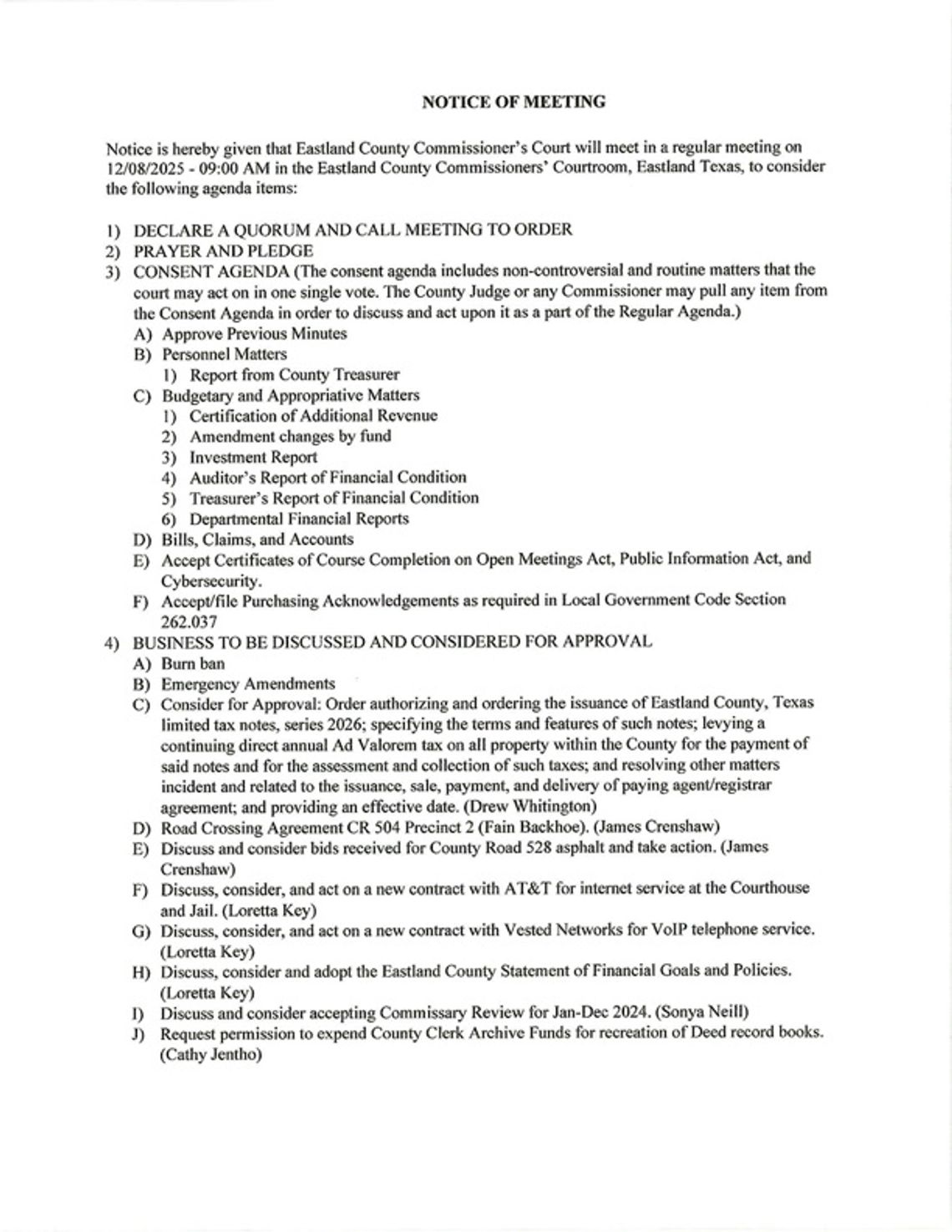
Eastland County Commissioners Meeting Monday, Dec. 8 at 9 a.m.
PLEASE LOG IN FOR PREMIUM CONTENT. Our website requires visitors to log in to view the best local news.
Not yet a subscriber? Subscribe today!

Eastland County Commissioners Meeting Monday, Dec. 8 at 9 a.m.